Composite Concave
Linear Programming


An Open Letter to LP Software Developers

G'day:

Aren't you sick and tired of looking for so many years at the same problem format?

True, it is big business, but ... is this what life is all about?

Or perhaps it is time to take a step forward and harness the capabilities of LP techniques and channel them in new exciting directions? In fact, how about the following format:

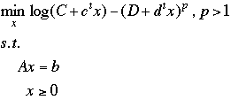
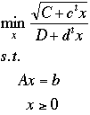
For instance, something like this

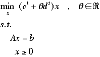
or something like this

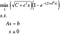
or perhaps something like this

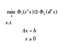
and while we are at it, why not something exotic like this:

CCLP offers you a straightforward recipe for handling problems of this kind using your existing codes. In fact, all you need on board your LP software is a facility to solve the following standard LP parametirc problem:

for a range of values of the scalar to be specified by the CCLP recipe.

If your software already has this feature, then adding the CCLP capabilities is a straightforward matter. The effort is minimal (just a dozen or so lines of code) but the gains are substantial.

If your software only has sensitivity analysis capabilities, you should seriously consider upgrading it to support CCLP. The effort is not significant. In fact, as indicated above, it is similar to the effort required to add simple parametric analysis capabilities.

It should be pointed out that unlike conventional parametric analysis, CCLP does not require you to store all the basic feasible solution generated by the simplex procedure. You store only the current best solution. Thus, you do not have to deal with the nuisance of finding accommodation for all them thousands of solutions generated by the parametric problem!

Should you decide to add CCLP capabilities to your LP software we shall be delighted to cooperate in this effort and share with you our extensive experience in solving problems of this type.