Composite Concave
Linear Programming


Students' Grounds

G'day:

Ask your lecturers to incorporate CCLP topics in their LP and NLP classes. This method is useful, practical and goes well with traditional LP and NLP topics.

As an exercise, answer the following question:

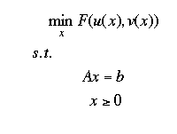
What is the relationship between the two formats given in these pages to CCLP problems ? Recall that the two formats are as follows:

Format 1

Format 2